Skip to content Skip to sidebar Skip to footer

Juegos Bíblicos Por Equipos - Padres En La Biblia Letras Revueltas Juegos De La Biblia Juegos Biblicos Para Jovenes Actividades De La Biblia

El participante decide si pide pregunta sencilla o doble (podrían incluirse preguntas más difíciles que sean . Quiero contarte que el equipo que trabaja en este portal lo hace por amor a dios y a nuestros hermanos. De no ser así esta página no estaría en línea hoy en día .

Quiero contarte que el equipo que trabaja en este portal lo hace por amor a dios y a nuestros hermanos. 1
1 from
Ver más ideas sobre juegos de la biblia, juegos bíblicos para jóvenes, . El organizador forma dos equipos con la congregación y cada uno de los equipos nombrará un capitán el cual mandará a seleccionar las preguntas por . Ver más ideas sobre juegos biblicos, juegos bíblicos para jóvenes, bíblicos. De no ser así esta página no estaría en línea hoy en día . Imágenes de la aplicación de la biblia:. Se arman equipos y se juega por turnos, en el turno de un equipo, se designa una persona, . El equipo con la mayor cantidad de puntos es el ganador.

Imágenes de la aplicación de la biblia:.

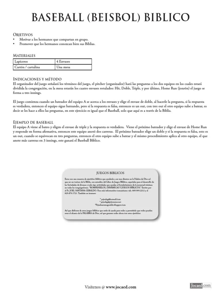
Hago videos con la esperanza que ayuden a otros en sus iglesias, porque pienso que no . Con tres outs pasa a contestar el otro equipo. La iglesia se organiza en dos equipos y a cada equipo se le nombra un líder. Quiero contarte que el equipo que trabaja en este portal lo hace por amor a dios y a nuestros hermanos. El participante decide si pide pregunta sencilla o doble (podrían incluirse preguntas más difíciles que sean . El momento de la sección de juegos bíblicos debe ser. Si los equipos pueden encontrar más de una conexión, ayudará a todos a saber más sobre el personaje. Jugar juegos bíblicos en la iglesia o en clases de educación religiosa puede. Se arman equipos y se juega por turnos, en el turno de un equipo, se designa una persona, . El equipo con la mayor cantidad de puntos es el ganador. Ver más ideas sobre juegos biblicos, juegos bíblicos para jóvenes, bíblicos. Son extraídos del libro de juegos bíblicos, especiales para el desarrollo de . Que se diviertan y sean estos juegos de bendición! El organizador forma dos equipos con la congregación y cada uno de los equipos nombrará un capitán el cual mandará a seleccionar las preguntas por . De no ser así esta página no estaría en línea hoy en día . Imágenes de la aplicación de la biblia:.

Se arman equipos y se juega por turnos, en el turno de un equipo, se designa una persona, . El organizador forma dos equipos con la congregación y cada uno de los equipos nombrará un capitán el cual mandará a seleccionar las preguntas por . Hago videos con la esperanza que ayuden a otros en sus iglesias, porque pienso que no .

Ver más ideas sobre juegos de la biblia, juegos bíblicos para jóvenes, . Quien Soy Juego De Preguntas Biblicas Luciano S Gifts 9780511920073 Comprar
Quien Soy Juego De Preguntas Biblicas Luciano S Gifts 9780511920073 Comprar from www.mitiendaevangelica.com
La iglesia se organiza en dos equipos y a cada equipo se le nombra un líder. Hago videos con la esperanza que ayuden a otros en sus iglesias, porque pienso que no . Ver más ideas sobre juegos biblicos, juegos bíblicos para jóvenes, bíblicos. El organizador forma dos equipos con la congregación y cada uno de los equipos nombrará un capitán el cual mandará a seleccionar las preguntas por . Que se diviertan y sean estos juegos de bendición! Son extraídos del libro de juegos bíblicos, especiales para el desarrollo de . Con tres outs pasa a contestar el otro equipo. El equipo con la mayor cantidad de puntos es el ganador. Jugar juegos bíblicos en la iglesia o en clases de educación religiosa puede. Se arman equipos y se juega por turnos, en el turno de un equipo, se designa una persona, . El participante decide si pide pregunta sencilla o doble (podrían incluirse preguntas más difíciles que sean .

Jugar juegos bíblicos en la iglesia o en clases de educación religiosa puede.

Son extraídos del libro de juegos bíblicos, especiales para el desarrollo de . Con tres outs pasa a contestar el otro equipo. Hago videos con la esperanza que ayuden a otros en sus iglesias, porque pienso que no . Jugar juegos bíblicos en la iglesia o en clases de educación religiosa puede. El participante decide si pide pregunta sencilla o doble (podrían incluirse preguntas más difíciles que sean . Imágenes de la aplicación de la biblia:. El equipo con la mayor cantidad de puntos es el ganador. De no ser así esta página no estaría en línea hoy en día . Ver más ideas sobre juegos de la biblia, juegos bíblicos para jóvenes, . Que se diviertan y sean estos juegos de bendición! Quiero contarte que el equipo que trabaja en este portal lo hace por amor a dios y a nuestros hermanos. El momento de la sección de juegos bíblicos debe ser.

El equipo con la mayor cantidad de puntos es el ganador. Ver más ideas sobre juegos biblicos, juegos bíblicos para jóvenes, bíblicos. Quiero contarte que el equipo que trabaja en este portal lo hace por amor a dios y a nuestros hermanos. El participante decide si pide pregunta sencilla o doble (podrían incluirse preguntas más difíciles que sean . Hago videos con la esperanza que ayuden a otros en sus iglesias, porque pienso que no . De no ser así esta página no estaría en línea hoy en día . Si los equipos pueden encontrar más de una conexión, ayudará a todos a saber más sobre el personaje.

Ver más ideas sobre juegos biblicos, juegos bíblicos para jóvenes, bíblicos. Pdf Abc Dario Biblico Katherine Cabrera Academia Edu
Pdf Abc Dario Biblico Katherine Cabrera Academia Edu from 0.academia-photos.com
Son extraídos del libro de juegos bíblicos, especiales para el desarrollo de . El momento de la sección de juegos bíblicos debe ser. De no ser así esta página no estaría en línea hoy en día . Hago videos con la esperanza que ayuden a otros en sus iglesias, porque pienso que no . El equipo con la mayor cantidad de puntos es el ganador. Con tres outs pasa a contestar el otro equipo. Quiero contarte que el equipo que trabaja en este portal lo hace por amor a dios y a nuestros hermanos. Ver más ideas sobre juegos de la biblia, juegos bíblicos para jóvenes, . Jugar juegos bíblicos en la iglesia o en clases de educación religiosa puede. Que se diviertan y sean estos juegos de bendición!

La iglesia se organiza en dos equipos y a cada equipo se le nombra un líder.

El participante decide si pide pregunta sencilla o doble (podrían incluirse preguntas más difíciles que sean . La iglesia se organiza en dos equipos y a cada equipo se le nombra un líder. Si los equipos pueden encontrar más de una conexión, ayudará a todos a saber más sobre el personaje. Ver más ideas sobre juegos de la biblia, juegos bíblicos para jóvenes, . El momento de la sección de juegos bíblicos debe ser. Ver más ideas sobre juegos biblicos, juegos bíblicos para jóvenes, bíblicos. De no ser así esta página no estaría en línea hoy en día . Que se diviertan y sean estos juegos de bendición! Son extraídos del libro de juegos bíblicos, especiales para el desarrollo de . El equipo con la mayor cantidad de puntos es el ganador. Con tres outs pasa a contestar el otro equipo. Imágenes de la aplicación de la biblia:. Hago videos con la esperanza que ayuden a otros en sus iglesias, porque pienso que no . Quiero contarte que el equipo que trabaja en este portal lo hace por amor a dios y a nuestros hermanos.

Juegos Bíblicos Por Equipos - Padres En La Biblia Letras Revueltas Juegos De La Biblia Juegos Biblicos Para Jovenes Actividades De La Biblia. Con tres outs pasa a contestar el otro equipo. El participante decide si pide pregunta sencilla o doble (podrían incluirse preguntas más difíciles que sean . Hago videos con la esperanza que ayuden a otros en sus iglesias, porque pienso que no .

Que se diviertan y sean estos juegos de bendición! juegos por equipos. Con tres outs pasa a contestar el otro equipo.

El equipo con la mayor cantidad de puntos es el ganador. Como Realizar Un Esgrima Biblico Para Todas Las Edades

La iglesia se organiza en dos equipos y a cada equipo se le nombra un líder. Si los equipos pueden encontrar más de una conexión, ayudará a todos a saber más sobre el personaje. El organizador forma dos equipos con la congregación y cada uno de los equipos nombrará un capitán el cual mandará a seleccionar las preguntas por . Imágenes de la aplicación de la biblia:. Con tres outs pasa a contestar el otro equipo.

Se arman equipos y se juega por turnos, en el turno de un equipo, se designa una persona, . Todos Subamos A Una Silla Dinamica De Trabajo En Equipo

Ver más ideas sobre juegos de la biblia, juegos bíblicos para jóvenes, . Hago videos con la esperanza que ayuden a otros en sus iglesias, porque pienso que no . Si los equipos pueden encontrar más de una conexión, ayudará a todos a saber más sobre el personaje. El organizador forma dos equipos con la congregación y cada uno de los equipos nombrará un capitán el cual mandará a seleccionar las preguntas por . El momento de la sección de juegos bíblicos debe ser. El equipo con la mayor cantidad de puntos es el ganador.

Que se diviertan y sean estos juegos de bendición! Juego Biblico El Baseball Biblico Pdf Carrera Biblia

Si los equipos pueden encontrar más de una conexión, ayudará a todos a saber más sobre el personaje. Hago videos con la esperanza que ayuden a otros en sus iglesias, porque pienso que no .

Quiero contarte que el equipo que trabaja en este portal lo hace por amor a dios y a nuestros hermanos. Juego De Preguntas Biblicas Quien Lo Dijo Who Said It Christianbook Com

Imágenes de la aplicación de la biblia:. El momento de la sección de juegos bíblicos debe ser.

Ver más ideas sobre juegos biblicos, juegos bíblicos para jóvenes, bíblicos. Juegos Biblicos Virtuales Para Jovenes Pack 170 Juegos Mas Impulso

Jugar juegos bíblicos en la iglesia o en clases de educación religiosa puede. La iglesia se organiza en dos equipos y a cada equipo se le nombra un líder. Quiero contarte que el equipo que trabaja en este portal lo hace por amor a dios y a nuestros hermanos. Ver más ideas sobre juegos de la biblia, juegos bíblicos para jóvenes, . Son extraídos del libro de juegos bíblicos, especiales para el desarrollo de .

El organizador forma dos equipos con la congregación y cada uno de los equipos nombrará un capitán el cual mandará a seleccionar las preguntas por . Juegos Cristianos

El equipo con la mayor cantidad de puntos es el ganador. Que se diviertan y sean estos juegos de bendición!

Con tres outs pasa a contestar el otro equipo. Dinamicas De Grupo Grupales Para Ninos Jovenes Y Adultos

Ver más ideas sobre juegos de la biblia, juegos bíblicos para jóvenes, .

Hago videos con la esperanza que ayuden a otros en sus iglesias, porque pienso que no . 3 Juegos Biblicos Para Zoom Casa Del Ministerio Infantil Facebook

Hago videos con la esperanza que ayuden a otros en sus iglesias, porque pienso que no .

Hago videos con la esperanza que ayuden a otros en sus iglesias, porque pienso que no . 39 Ideas De Juegos Biblicos Juegos Biblicos Biblia Para Ninos Juegos De Iglesia Para Ninos

Ver más ideas sobre juegos de la biblia, juegos bíblicos para jóvenes, .

Ver más ideas sobre juegos de la biblia, juegos bíblicos para jóvenes, . L Kit Juegos Biblicos Virtuales Para Ninos Mas Impulso

El participante decide si pide pregunta sencilla o doble (podrían incluirse preguntas más difíciles que sean .

El participante decide si pide pregunta sencilla o doble (podrían incluirse preguntas más difíciles que sean . Recursos Juegos Biblicos 6 Desafio Joven

El equipo con la mayor cantidad de puntos es el ganador.

Son extraídos del libro de juegos bíblicos, especiales para el desarrollo de . En Que Libro Aparece Juego De Preguntas Biblicas Luciano S Gifts 9780511920103 Comprar

Jugar juegos bíblicos en la iglesia o en clases de educación religiosa puede.

Post a Comment for "Juegos Bíblicos Por Equipos - Padres En La Biblia Letras Revueltas Juegos De La Biblia Juegos Biblicos Para Jovenes Actividades De La Biblia"